小儿关煞图解-40页,点击免费获取,然后刷新一下页面就可以了
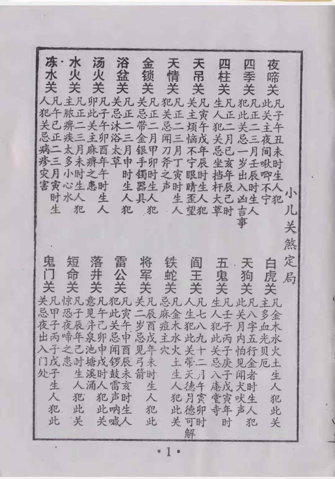
《小儿关煞图解》注阴阳门书,小儿关煞是古代中国命理学家对刚出生的小孩命理四柱中所带的神煞的总称,小孩出生后命中带有相应的关煞就会有相应的吉凶表现,命中带有小儿关煞的从出生到上大运前的这段时间都需要格外小心,于是小儿关煞逐渐的成为专业命理师,预测师论命的重要依据之一


本站所有资料均来源于互联网收集或用户分享,我们不拥有这些资料的版权。请用户在下载后24小时内删除,严禁将其传播或用于任何公众商业用途。如有侵犯您的合法权益,请立即联系我们,我们将尽快删除相关内容。联系方式:微信:fs5185288 易学创富网